Daian Bica
[Steven French, There Are No Such Things As Theories, Oxford: Oxford University Press, 2019, 288 pp.]
Steven French’ last book There Are No Such Things as Theories brings about a new and provocative way of rethinking and reshaping the debates in philosophy of science by jettisoning the concept of scientific theory and replacing it instead with a rich ontology of scientific practices. The focal point of this approach seems to be that we still lack a good set of criteria to make sense of theories – which French takes to mean no less than that there are no such things as theories out there in the world ready to be discovered (p.223). This rather revolutionary framework encourages the reader to reassess the scope of scientific theory in the light of theory eliminativism – more precisely to free herself “from this illusory ontology” (p.239). As I will argue in what follows, French’s main argument is a reductio ad absurdum that operates all throughout the book: given the fact approaches to theories fail to specify what a theory is, philosophers should discard the very idea of such a thing (pp.180-182).

In addition to that, French’s book presents the reader with arguments coming from fields as different as philosophy of music and philosophy of art regarding the ontological status of artworks, fictions, or music pieces. Questions such as Does Picasso’s Guernica exist as an abstract object? Is Beethoven’s Fifth Symphony a real Platonist entity inhabiting a realm rather different than the physical one?, are imported directly in philosophy of science (French 2020). Subject to reflection, the problem refers to the mere possibility of justifying analogies between art and science, and if it is the case, why those analogies hold and where the analogies lead to. An example would be that theory eliminativism stems from discussions regarding whether statues exist or not (p.184). Such an option in the philosophy of art, taken by Cameron, is to assert that “There are statues” is false since at a fundamental level there are only atoms statue-shaped.[1] To a certain extent, the same movement is done in theory eliminativism (“theory-shaped bits of practice”), exhibiting a relation of a certain kind with artwork eliminativism, as I will show below (p.192) (p.239).
Steven French is a well-known British author, much appreciated for many contributions of great value in the English-speaking philosophy of science – in debates, to name a few, regarding philosophical problems in quantum mechanics, scientific realism, metaphysics of science, the interplay between science and art or the role of models in the scientific activity. In this biographical respect, There Are No Such Things as Theories relies also on previous approaches that the author has been elaborating in other places of his work. It resurfaces here, for instance, the problem of the so-called “Viking” or “toolbox” (meta-philosophical) approach to philosophy of science from his 2014 book The Structure of the World – roughly speaking, a concept that is imported from, say, metaphysics or philosophy of art should be domain-specific to scientific practice.[2] To speculate a bit, an example of such a conceptual import is actually the much-disputed concept of scientific theory. Being given that in the plurality of practices there is no place for theories and, consequently, no metaphysical commitment thereafter, theory is not a topic-specific tool for understanding modern science.

Nevertheless, another example of what Viking approach amounts to is to consider once again the interplay between artwork eliminativism and theory eliminativism – an idea that is tailored for the topics and debates in philosophy of science. Nonetheless, theory eliminativism is backed up with a belief (another domain-specific tool in the Viking Approach’s sense) in a fundamental ontology that is informed by the contemporary practices in quantum mechanics – that is, a metaphysics of structure replacing one of self-sustaining objects.[3] To finish this biographical detour with a concluding remark, French’s previous Viking Approach already had the philosophical ammos to fuel such a stance as theory eliminativism.
There Are No Such Things As Theories should be integrated in the status quo of contemporary philosophy of science in order to understand the transition from theories to scientific practices as units of philosophical analysis. The concept of theory was, from a historical point of view, the bastion of philosophy of science from its early days, arguably, the 19th century, until very recent times, roughly, the last decades of the previous century, when it underwent as an academic field a turn to the role of scientific practices. In other words, (pre-practical turned) philosophy of science is centred around the concept of scientific theory. The meta-philosophical orientation towards theories settles down an (explanatory) agenda for what philosophers of science should do – to show scientists make sense of theories from the Scientific Revolution to the holy days of the Large Hadron Collider and of Standard Model of subatomic particles.
Let’s consider three textbook examples of the most relevant theory-oriented philosophies of science. Take a look at Pierre Duhem’s definition of theory from his Aim and Structure of Physical Theory that lay down the 19th century debates in philosophy of science: “a physical theory is an abstract system whose aim is to summarize and classify logically a group of experimental laws”.[4] Consequently, in Duhem’s view, the aim of science revolves around searching for such abstract systems.[5] Or let’s go some decades later and analyse Nagel’s Syntactic View on theories from The Structure of Science where a theory is “an abstract calculus” and “a set of rules” that relate the calculus to “empirical content”.[6] Elsewhere in the book, Nagel firmly says that “the distinctive aim of the scientific enterprise is to provide systematic and responsibly supported explanations” – the process of systematization is achieved by the way of scientific theorizing[7]. Perhaps we should make a step even further and take as an example Van Fraassen’s classical defense of Semantic Approach to theories from The Scientific Image: “to present a theory is to specify a family of structures; its models”.[8]
It is almost obvious that these loci classici of philosophy of science, be it Duhem’s mathematical representational approach, or logical positivism, or constructive empiricism, were using the very concept of theory as a “sortal term” that is an entity of a certain kind (p.181). The concept of theory was identified, in turn, either with fictional set-theoretic structures (van Fraassen advocating Semantic Approach), or with highly-abstract mathematical representation (Duhem defending Syntactic View), or with linguistic propositions (Nagel providing also a version of the Syntactic View). Consequently, French brings into critical consideration each of those alternatives. I will come upon these approaches below.
As a critical reaction to the theory-based approaches, various philosophers of science challenged the basic assumptions of theory-centered projects by emphasizing the role of scientific practices, and giving birth henceforth to an array of trends tied together under the umbrella concept “the practice turn”. One influential alternative was to put the problem of practices under the form of the genuine knowledge furnished by techne, crafts, technologies, or experiments –on this view, theories are only tools relative to these modelling practices.[9] Or, taking another practices-based conceptual route, other philosophers hold scientific practices are culturally – and historically-situated perspectives or points of view.[10] In the perspectivist understanding, theories are highly theoretical principles that define “a quite abstract object” that is in turned used in building up representational models.[11]
Bearing in mind the switch from theories to practices, There Are No Such Things As Theories is perhaps the last nail in the coffin of the concept of theory. It should stress it that French departs also from the usual practice-based approaches in the sense that Cartwright identifies theories with tools and Giere identifies theories with perspectives (pp.191-192). If we follow the eliminativist stance, it is not possible, to begin with, to ask how the identification should take place since philosophers do not have what theories to identify with. French compares his eliminativism with Cartwright’s instrumentalist view: “this is the crucial difference: there are no theories in my view” (p.192). One can say that only by now, with the publishing of There are no such things as theories, the transition or turn from theories to practices in philosophy of science is finally achieved!
Steven French accomplishes the ultimate turn to practices, so to speak, in the 7th and 8th chapters of the book under the form of eliminativism, that is an ontological framework, such that at stake it is the problem of what exists (there are no theories) and what is not (there are practices). Within the ontological framework, eliminativism endorses two distinct core-theses. The first core-thesis includes a theory about truth-makers according to which true statements are ‘made’ true by certain features of realities (p.182). Secondly, theory eliminativism has also a proper fundamental ontology – that characterise “how the world is at its most fundamental level” (p.183). Consequently, elements of this ontology will serve as the truth-makers for sentences that mention both these fundamental elements and other non-fundamental elements (p.183). The truth-makers of propositions concerning theories are not theories tout court but “the complex of practices of the scientific community” that are “all that really exists in this context”. Steven French’s concept of practice is rather broad, it ranges from “the writing and dissemination of articles, the performance of experiments, (…) heuristic moves”, to journals, papers, PhD thesis, “an arrays of human activity” or (arguably) concept formation (p.191).

How theory eliminativism works out after all? The readers get a clue of how eliminativism is looking at work in the 7th chapter. To begin with, both core-theses rest on a later distinction drawn between English (as a non-fundamental language) and Ontologuese (as a fundamental language) (p.187). For instance, one may say “Quantum mechanics is an elegant theory” (p.189). This latter sentence is formulated in English. When a speaker utters this proposition (in a non-fundamental language), she is not metaphysically committed to the existence of quantum mechanics as a theory (as an entity of a certain kind). Instead, the metaphysical commitment of the speaker is to the plurality of scientific practices concerning quantum mechanics – that works in turn as the truth-maker of the proper proposition. Concerning the real reference of the proposition, it is formulated consequently in Ontologuese. Perhaps the sentence “Quantum mechanics is an elegant theory” refers to a corresponding practice, one that involves writing strings of equations on a whiteboard in a physics course, or writing down the set of equations in a quantum mechanics textbook. Elegance as an aesthetic predicate is a property of a certain associate practice, but not “of the theory in any metaphysical serious sense” (p.197).

The author returns upon this example in the 8th chapter to highlight that quantum mechanics is not a theoretical monolith, “a unitary and well-defined entity, with define identity conditions” (p.208). A scrupulous analysis of the history of quantum mechanics shows that the very idea “of a parade of putative theories” is precisely a construction done whether by historians or scientists (as historians of their own field) (p.203). How does French ground this ambitious claim regarding modern science? The author cuts the Gordian knot by showing that the historiographical claim of a Quantum Revolution which takes place somewhere between 1927-1928 is not that an obvious historical fact. To put it briefly, French claims to this regard: “the quantum revolutionaries differed with regard to what they took ‘the’ theory to be and what principles they felt at the heart of it” (p.205).
Considering the principles that are supposed to lay at the foundations of quantum mechanics, one can become aware of the fact that it is not entirely what those principles are. Whether one examines von Neumann’s formulation, or Weyl’s group-theoretic approach, or Schrodinger’s wave mechanics, or Dirac’s wave mechanics, each and every approach is different in regards of the foundational principles (e.g. distinct mathematical formalism) (pp.203-207). Those principles seem to be embodied in famous textbooks on quantum mechanics (scientific practices in other words). The same situation arises again in considering what interpretation of quantum mechanics is ‘the’ theory (pp.207-208). Both situations concerning quantum physics show that philosophers should cast doubt on that there are theories and, on the other hand, “come up with an ontology of theories that reflect these practices” (p.223).
There Are No Such Things As Theories is elegantly structured as it follows. The chapters (1) – (6) provide a general survey of the literature on what theories could be, about which Steven French offers a cost-benefit analysis. As a consequence of the overall discussion, which shows the failure of all those theory approaches to specify the conditions of identity for what theories are, the author proposes instead theory eliminativism (chapters 7 and 8). Generally speaking, chapters (1) – (6) should be read by the read as a step-by-step elimination of alternatives. Let’s consider the alternatives one by one.
Chapter (1) revisits the Syntactic View on theories, on the face of which theories are collections of logico-linguistic propositions. The Syntactic View is, historically, one of the core features of logical positivism. One can distinguish between weaker and stronger versions of the Syntactic View (p.10). According to the stronger version, the variant defended in fact by positivists, theories are abstract logical calculi, logically closed under first-order logic and that are further on subject to interpretation (pp.3-4). In its turn, the interpretation is determined by “correspondence rules” that bind together or “bridge the gap” between the observable and theoretical languages one with another (pp.12-13). We as philosophers of science reach upon an “understanding of what is a theory of (..) once the correspondence rules are laid down” (p.13). Within the strong approach, correspondence rules deploy a certain role in individuating theories (p.13) On the other hand, the weak version retains the very idea of theories as propositions, but rejects the whole correspondence rules framework – according to the weaker version, the proper rules do not pick out what a theory is (p.10).
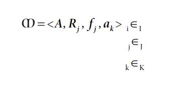
The next alternative (approached in chapter 2) is the Semantic View of theories, wherein theories are taken to be collections of models, that are nonetheless extra-linguistic entities. Not having a linguistic nature (contra the Syntactic View), theories as models can get a number of different linguistic formulations (pp.33-34). Contrary to the Syntactic View, theories as models have a “linguistic independence” (p.36). What models truly are? As mathematical objects and represented in a formal framework, we define models as structures :

where A stands for a non-empty S, R is a family of relations, f is a family of functions and a refers to a family of individuals of set A (p.36). Precisely, the approach of theories as models understands the latter as a “model-theoretic” or a set-theoretic model (p.36). This definition enables a certain understanding of models as isomorphism, or partial isomorphism in order “to describe the relations theories have to each other and to phenomena” (p.37). Regarding the former, isomorphism is the identity of structure between two theoretical models. Instead, concerning the latter, isomorphism is the identity of structure between a theoretical model and a data model (a model that directly concerns a physical system as, perhaps, a result of a measurement). One may ask: “given that scientific models are, primarily, representations, in what sense may they also be mathematical structure?” (p.46). But is a model more than a formal skeleton, namely, as something that has a relation of representation with a physical system? (pp.45-46). If it is the case, how can one define the representational relationship?
This string of questions opens up third chapter, where Steven French talks, consequently, about models and theories as scientific representations, whereas models are understood to be the vehicle of representation (p.51). In asking whether theories are representations, French is taking again as a source of inspiration the relation between art and science (pp.52-53). Here the author examines mainly two kinds of accounts. Either one that construes representation in terms of similarity relationships between what is represented and what represents, or one that defines the relevant representation relationships in terms of isomorphism between the former and the latter (p.51). According to the first account, representation as similarity works as an asymmetric relation – for instance, a represents b, but b doesn’t represent a (p.52). An example from art: Freud’s Benefits Supervisor can be said to represent Sue Tilley, although we can not say that Sue Tilley represents the painting itself (p.52). Also, similarity means a relation that regards certain respects but not others. The model of billiard balls represents (is similar to!) the behavior of the gaseous particles in terms of motion, collision, or momentum, however, the real particles do not have the same size as the billiard balls.

On the view of the isomorphism account, a relation of representation stands for sharing the same (formal) structure between the model and the physical system that is represented. In other words, “certain relations which hold in the real system will be represented by corresponding relations holding between elements of the sets, but others will not” (p.61). Taking the example of a pendulum model: scientists describe it in terms of a point-like bob that lacks friction and of a massless string (p.61). In the isomorphism parlance, a relation of such a representation holds between the pendulum model and a real actual pendulum – “what the material and the ideal pendulums have in common are aspects of the relevant structure” (p.61). However, both views are not however mutually exclusive – the isomorphism account can be understood as a more formalized version of the similarity approach (pp.95-96).
The next three chapters (4), (5), and (6) ask what theories and models are as abstract entities: Are they fictional entities similar to fictional characters? Or do theories behave like artifacts (paints or music pieces)? Or perhaps do theories exist out there in a Platonist world? In chapter (4), French explores a debate in the philosophy of art regarding whether artworks are abstract objects, and if this is the case, how are they brought about since there is a tension between the very idea of an abstract object and the process of (concrete) creation (pp.100-101). One move is to follow the Vikings approach and to import this problem in the ontology of theories (pp.112-113). This is, precisely, the main topic of chapters (5) and (6). In chapter (5), the author explores two distinct approaches. According to the first, advocated by Karl Popper, one should distinguish between a First World (the physical world – one of physical entities, processes), a Second World (the realm of mental – the world of mental states) and the Third World (the world of theories, models, artworks) (pp.116-118). In this view, the process of theory construction involves the discovery of theories that are abstract entities out there in the world. Popper argues in favor of the Third World along this line: being given that scientists manage “to discussing the same thing”, theories exist as abstract entities (p.119). Under this view, theories are not created, solving thus the above tension from the fourth chapter.
An alternative option is to take into consideration Thomasson’s account, by characterizing certain theories as abstract artifacts, that lack of spatio-temporal location – they can also be regarded as abstract although “they are still created, come into existence, change, and may cease to exist” (pp.123-124). Within the fictionalist approach, models and theories, quantum mechanics and billiard ball model are compared with fictional characters and books, such as Lord of The Rings and Frodo. In which sense those on the same par? A fictional character and a model are abstract artifacts that come into existence in a particular set of practices, work of fiction (in the first case) and experimental setup or modeling practices (in the second case) alike (p.124). To put it the other way around, they are similar in the respect of the process of being brought about or created. Both Frodo and the billiard ball model lack spatio-temporal location and can be traced back to the relevant practices where they are embodied (p.125).

Recall the above example with quantum mechanics. If it is a theory, when was it discovered, according to Popper’s view? With Bohr, or with Dirac, or with Heisenberg? Or, buying into Thomasson’s view, when and where it did come into being? The general problem is that “we begin to think about how this sort of account might mesh with ‘scientific discovery’ in general and well-known heuristic moves in particular” (p.151). In this place, heuristic moves mean mainly the methodological and experimental procedures to which the development of theories are supposed to be subordinated. This kind of objection doubts the plausibility of both Popper’s and Thomasson’s views.
Chapter (6) deals with a fictional account of theories (p.152). On this view, theories and fictions are on the same ontological par (contra Thomasson, for whom theories are not fictions, what do they actually share, is that both are relative to particular practices). Accordingly, propositions concerning the theory of general relativity, for instance, are not literally true, but true relative to or within that theoretical framework. This could mean that when scientists talk in their practice about the theory of relativity, they are engaging in a game of make-belief, prop, or pretense (p.20) (pp.152-154). Briefly, those scientists are pretending that their propositions are about a kind of entity called “the theory of relativity” – the entire game of make-belief is “delineated by a kind of convention or principle of agreement”, in this case, among scientists (p.21). One may ask: if theories are fictions, what are fictions? They could be possibilia, non-actual possible worlds (p.156). Describing the idealized model of the pendulum, scientists are referring to a non-actual possible world that lacks friction forces (pp.156-157). The other left is to explain fictions as “objects of our imagination” that engage the scientists in the game of make-belief. (p.159). Regardless of what options one may choose, fictionalism can’t account for some practice-related problems. What about models that contain “very general properties of infinite populations” from population biology (p.173)? In order to answer to this problem, the fictionalist defender has to accept that those models are fictions by which they are entertaining in a make-belief game (p.174). Or, it is not the case that scientists are aware in the scientific practice of the fictional nature of those models (p.174).
I think that the main problem around which chapters (5), and (6) are revolving, is that although those approaches have their own theoretical merits, are ontologically costly in the sense that they do not resolve the problems they are attempting to. The key lesson is perhaps that philosophers of science should just embrace theory eliminativism:
“We could chop through this knotty (Gordian) bundle of issues by simply denying the initial assumption, namely that theories are things or entities, abstract or otherwise, to begin with” (p.151)
One may balk at theory eliminativism by critically asking: if we accept that there are not conditions of identity for theories, what role will perform the philosopher of science instead? Would she be forced just to describe the do-ings and happen-ings in the scientific practices without talking about representations, models, or theories? (p.233). Perhaps “we should simply focus our collective attention on the practices” (p.234). In the last (9th) chapter, French delivers an ingenious response to this concern. As philosophers of science, we should take the representation relationship between theories and models as a philosophical meta-construction (p.235). Meta-construction means, in this case, a philosophical discussion done either by professional philosophers or by scientists thinking philosophically about “theories or models representing some target system” (p.235). By this (meta)-philosophical assumption, we may make sense of scientific practice and its implications for how we should understand the world (p.235). The meta-level is distinguished from the object level, that is the level of scientific practice itself (p.20). The adoption of the assumptions meshes very well with a Syntactic View, or with a Semantic View, or with an isomorphism or similarity-based approach on scientific representation – that are “constructions that we philosophers of science introduce and use to do our work” (p.236).
Are those philosophical and historiographical constructions of any use being given the eliminativism framework? Indeed, philosophers of science are not representing something at the object level. Rather, they are focusing more on constructions that enable themselves “to make sense of certain features of scientific practice” (p.236). In the spirit of this object- and meta-level distinction, the role of philosophy of science is to make explicit the principles already at play in scientific practices “both current and as presented through the history of science” (p.238). On this basis, philosophers should assess what those principles commit scientists to and “how we can best make a consistent” theory that incorporates them (p.238).
Always engaging with the philosophical literature and even growing naturally out of it, There Is No Such Things As Theories is a critical diagnosis of the ongoing debates on scientific theories and, optimistically speaking, on how those debates should be directed from now on. Steven French manages sucessfully to provide a new philosophy of science that is tailored for the already established practice turn in the field. More than a new dismissive account of scientific theories, here we have the announcement of a novel way of dealing with philosophical problems related to scientific practices. Here is my guess: There Is No Such Things As Theories is our contemporary Against Method.
Works cited:
Bas C.Van Fraassen, The Scientific Image, Oxford: Oxford Claredon Press, 1980.
Ross P. Cameron, “There are No Things That are Musical Works”, in The British Journal of Aesthetics (vol.48), Issue 3, pp.295-314, 2008.
Ernest Nagel, The Structure of Science, Indianapolis Cambridge: Hackett Publishing Company, 1979.
Nancy Cartwright, Nature, the Artful Modeler, Chicago: Open Court, 2019.
Pierre Duhem, The Aim and Structure of Physical Theory, trans. from French by Philip F. Wiener Princeton: Princeton University Press, 1991.
Steven French, The Structure of the World: Metaphysics and Representation, Oxford: Oxford University Press 2014.
Ronald Giere, Scientific Perspectivism, Chicago: The University of Chicago Press, 2004.
[1] Ross P. Cameron, “There are No Things That are Musical Works”, in The British Journal of Aesthetics (vol.48), Issue 3,p.301, 2008
[2] Steven French, The Structure of the World: Metaphysics and Representation, Oxford: Oxford University Press 2014, p.49-50
[3] ibid., p.205
[4] Pierre Duhem, The Aim and Structure of Physical Theory, trans. from French by Philip F. Wiener, Princeton: Princeton University Press, 1991, p.7
[5] ibid., pp.7-9
[6] Ernest Nagel, The Structure of Science, Indianapolis Cambridge: Hackett Publishing Company, 1979, p.90
[7] ibid., p.15
[8] Bas C.Van Fraassen, The Scientific Image, Oxford: Oxford Claredon Press, 1980 p.64
[9] Nancy Cartwright, Nature, the Artful Modeler, Chicago: Open Court, 2019, p.4
[10] Ronald Giere, Scientific Perspectivism, Chicago: The University of Chicago Press, 2004
[11] ibid., p.69
